The effect of dark states on the intersystem crossing and thermally activated delayed fluorescence of naphthalimide-phenothiazine dyads
Liyuan Cao‡1, Xi Liu‡2, Xue Zhang‡1, Jianzhang Zhao*1, Fabiao Yu【于法标】*3 and Yan Wan*2
1State Key Laboratory of Fine Chemicals, Frontier Science Center for Smart Materials, School of Chemical Engineering, Dalian University of Technology, 2 Ling Gong Road, Dalian, 116024, P. R. China
2College of Chemistry, Beijing Normal University, Beijing 100875, P. R. China
3Key Laboratory of Hainan Trauma and Disaster Rescue, The First Affiliated Hospital of Hainan Medical University, Hainan Medical University, Haikou 571199, P. R. China
Corresponding author email ‡ Equal contributors
Associate Editor: C. StephensonBeilstein J. Org. Chem. 2023, 19, 1028–1046. https://doi.org/10.3762/bjoc.19.79Received 21 Apr 2023,
Accepted 07 Jul 2023,
Published 19 Jul 2023 A non-peer-reviewed version of this article has been posted as a preprint https://doi.org/10.3762/bxiv.2023.18.v1
Abstract
A series of 1,8-naphthalimide (NI)-phenothiazine (PTZ) electron donor–acceptor dyads were prepared to study the thermally activated delayed fluorescence (TADF) properties of the dyads, from a point of view of detection of the various transient species. The photophysical properties of the dyads were tuned by changing the electron-donating and the electron-withdrawing capability of the PTZ and NI moieties, respectively, by oxidation of the PTZ unit, or by using different aryl substituents attached to the NI unit. This tuning effect was manifested in the UV–vis absorption and fluorescence emission spectra, e.g., in the change of the charge transfer absorption bands. TADF was observed for the dyads containing the native PTZ unit, and the prompt and delayed fluorescence lifetimes changed with different aryl substituents on the imide part. In polar solvents, no TADF was observed. For the dyads with the PTZ unit oxidized, no TADF was observed as well. Femtosecond transient absorption spectra showed that the charge separation takes ca. 0.6 ps, and admixtures of locally excited (3LE) state and charge separated (1CS/3CS) states formed (in n-hexane). The subsequent charge recombination from the 1CS state takes ca. 7.92 ns. Upon oxidation of the PTZ unit, the beginning of charge separation is at 178 fs and formation of 3LE state takes 4.53 ns. Nanosecond transient absorption (ns-TA) spectra showed that both 3CS and 3LE states were observed for the dyads showing TADF, whereas only 3LE or 3CS states were observed for the systems lacking TADF. This is a rare but unambiguous experimental evidence that the spin–vibronic coupling of 3CS/3LE states is crucial for TADF. Without the mediating effect of the 3LE state, no TADF is resulted, even if the long-lived 3CS state is populated (lifetime τCS ≈ 140 ns). This experimental result confirms the 3CS → 1CS reverse intersystem crossing (rISC) is slow, without coupling with an approximate 3LE state. These studies are useful for an in-depth understanding of the photophysical mechanisms of the TADF emitters, as well as for molecular structure design of new electron donor–acceptor TADF emitters.
![[1860-5397-19-79-i1]](https://www.beilstein-journals.org/bjoc/content/inline/1860-5397-19-79-i1.svg?max-width=637&background=FFFFFF)
Scheme 1: Synthesis of the compounds. Conditions: (a) 4-fluoroaniline, acetic acid, N2, reflux, 7 h, yield: 72%; (b) phenothiazine, sodium tert-butoxide, dry toluene, tri-tert-butylphosphine tetrafluoroborate, Pd(OAc)2, 120 °C, 8 h, yield: 15%; (c) H2O2 (30%), CH3COOH, 40 °C, 1 h, yield: 76%; (d) aniline, acetic acid, N2, reflux, 7 h; yield: 89%; (e) similar to step (b), yield: 52%; (f) similar to step (c), yield: 82%; (g) p-toluidine, acetic acid, N2, reflux, 7 h, yield: 83%; (h) similar to step (b), yield: 80%; (i) p-anisidine, acetic acid, N2, reflux, 7 h, yield: 75%; (j) similar to step (b), yield: 22%.
![[1860-5397-19-79-1]](/__local/2/DF/65/3E964949A44B19A7CC10FB2B236_555C6881_D547.png?e=.png)
Figure 1: UV–vis absorption spectra of (a) NI-PTZ-F, NI-PTZ-Ph, NI-PTZ-CH3, NI-PTZ-OCH3, and NI-PTZ-C5 and (b) NI-PTZ-F-O, NI-PTZ-Ph-O, and NI-PTZ-C5-O in n-hexane (HEX), c = 1.0 × 10−5 M, 20 °C.
![[1860-5397-19-79-2]](/__local/2/D6/F1/0B18D296238E7FFE851C49DA59A_1C8207BD_15B34.png?e=.png)
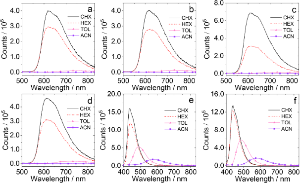
Figure 2: Fluorescence spectra of the dyads. (a) NI-PTZ-F, (b) NI-PTZ-Ph, (c) NI-PTZ-CH3, (d) NI-PTZ-OCH3, (e) NI-P-Z-F-O, and (f) NI-PTZ-Ph-O in different solvents. The solvents used were: CHX, HEX, toluene (TOL) and acetonitrile (ACN). Optically-matched solutions were used, A = 0.107, λex = 310 nm, 20 °C.
![[1860-5397-19-79-3]](/__local/B/AC/28/434DB2DF498A8FB0C427747ECD0_089E3F96_1535B.png?e=.png)
Figure 3: Fluorescence spectra of the dyads. (a) NI-PTZ-F, (b) NI-PTZ-Ph, (c) NI-PTZ-CH3, (d) NI-PTZ-OCH3, (e) NI-PTZ-F-O, and (f) NI-PTZ-Ph-O in HEX under different atmospheres (N2, air). Optically-matched solutions were used, A = 0.107, λex = 310 nm, 20 °C.
![[1860-5397-19-79-4]](/__local/5/8D/43/F7A97E4B9A2B43D33F95B9D4F56_5315AD9D_1B715.png?e=.png)
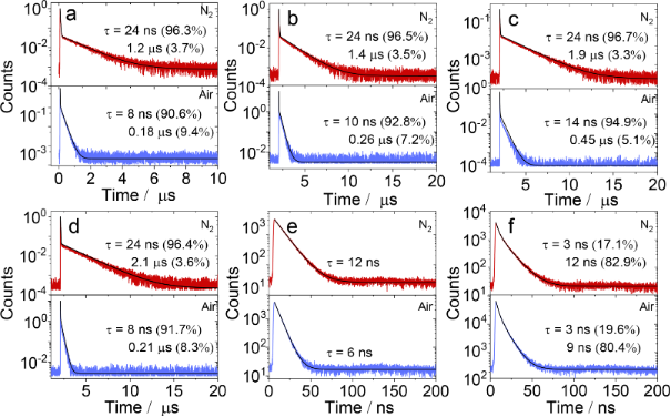
Figure 4: Fluorescence lifetime of (a) NI-PTZ-F; (b) NI-PTZ-Ph; (c) NI-PTZ-CH3; (d) NI-PTZ-OCH3 (λem = 610 nm, c = 1.0 × 10−5 M) and (e) NI-PTZ-F-O; (f) NI-PTZ-Ph-O (λem = 440 nm, c = 2.0 × 10−5 M) in different atmospheres (N2, air). Excited with a picosecond pulsed laser (λex = 340 nm), in HEX, 20 °C.
Table 1: Photophysical parameters of the compounds.
| Compounds | λabs(nm)a | εb | λem(nm)c | τF(ns)d | ΦF (%)e | krf | knrg |
|
| NI-PTZ-F | 333 | 2.1 | 620 | 8 (90.6%) 180 (9.4%) | 3.5 | 3.9 0.01 | 1.2 0.06 |
| NI-PTZ-Ph | 330 | 2.1 | 619 | 10 (92.8%) 260 (7.2%) | 3.5 | 3.2 0.01 | 1.0 0.04 |
| NI-PTZ-CH3 | 329 | 2.0 | 611 | 14 (94.9%) 450 (5.1%) | 3.5 | 2.4 0.0 | 0.7 0.02 |
| NI-PTZ-OCH3 | 330 | 2.1 | 611 | 8 (91.7%) 210 (8.3%) | 4.1 | 4.7 0.02 | 1.2 0.05 |
| NI-PTZ-C5 | 332 | 1.8 | 611 | 9 (94.4%) 240 (5.6%) | 2.6 | 2.7 0.01 | 1.1 0.04 |
| NI-PTZ-F-O | 329 | 2.0 | 440 | 6 | 3.5 | 5.8 | 1.6 |
| NI-PTZ-Ph-O | 330 | 2.1 | 434 | 3 (19.6%) 9 (80.4%) | 4.1 | 2.7 3.7 | 3.3 1.1 |
| NI-PTZ-C5-O | 332 | 1.8 | 433 | 6 | 2.6 | 4.3 | 1.6 |
aMaximal UV–vis absorption wavelength in HEX, c =1.0 × 10−5 M, 20 °C; bMolar absorption coefficient at absorption maxima in HEX, ε: 104 M−1 cm−1; cemission wavelength in HEX; dfluorescence lifetime under air atmosphere in HEX, λex = 340 nm; efluorescence quantum yields determined in HEX, λex = 310 nm; fradiative decay rate constant. kr = ΦF/τF, in 106 s−1; gnon-radiative decay rate constant. kr = (1–ΦF)/τF, in 108 s−1.
Table 2: Singlet oxygen quantum yields (ΦΔ, in %) in different solvents.a
| Compounds | CHX | HEX | TOL | DCM | ACN |
|
| NI-PTZ-F | 12 | 18 | 0 | –b | –b |
| NI-PTZ-Ph | 14 | 18 | 1 | –b | –b |
| NI-PTZ-CH3 | 15 | 17 | 0 | –b | –b |
| NI-PTZ-OCH3 | 14 | 23 | 2 | –b | –b |
| NI-PTZ-C5 | 17 | 19 | 1 | –b | –b |
| NI-PTZ-F-O | 25 | 30 | 50 | 100 | 100 |
| NI-PTZ-Ph-O | 23 | 26 | 46 | 100 | 90 |
| NI-PTZ-C5-O | 28 | 36 | 48 | 100 | 96 |
aThe ET (30) values of the solvents are 30.9 (CHX), 31.0 (HEX), 33.9 (TOL), 40.7 (DCM), and 45.6 (ACN), respectively, in kcal mol−1. Singlet oxygen quantum yield (ΦΔ) with Ru(bpy)3[PF6]2 as standard (ΦΔ = 0.57 in DCM) in different solvents; λex = 340 nm; bnot observed.
![[1860-5397-19-79-5]](/__local/5/0D/A3/3A81C5C3B7DAB9807105D92EEF0_383B0A6F_11D87.png?e=.png)
Figure 5: Cyclic voltammograms of the compounds. (a) NI-PTZ-F; NI-PTZ-Ph; NI-PTZ-CH3; NI-PTZ-OCH3; NI-PTZ-C5 in deaerated DCM and (b) NI-PTZ-F-O; NI-PTZ-Ph-O; NI-PTZ-C5-O in deaerated ACN. Ferrocene (Fc) was used as internal reference (set as 0 V in the cyclic voltammograms), 0.10 M Bu4NPF6 as supporting electrolyte, scan rates: 100 mV/s, c = 1.0 × 10−3 M, 20 °C.
(1)
(2)
(3)
Table 3: Electrochemical redox potentials of the compounds.a
| Compounds | E(OX)/V | E(RED)/V |
|
| NI-PTZ-Fb | +0.29 | −1.78 |
| NI-PTZ-Phb | +0.35 | −1.69 |
| NI-PTZ-CH3b | +0.33 | −1.75 |
| NI-PTZ-OCH3b | +0.33 | −1.74 |
| NI-PTZ-C5b | +0.34 | −1.72 |
| NI-PTZ-F-Oc | +1.38 | −1.53 |
| NI-PTZ-Ph-Oc | +1.38 | −1.56 |
| NI-PTZ-C5-Oc | +1.37 | −1.56 |
aCyclic voltammetry in N2-saturated solvents containing 0.10 M Bu4NPF6, a Pt electrode as the counter electrode, glassy carbon electrode as the working electrode, ferrocene (Fc/Fc+) as the internal reference (set as 0 V in the cyclic voltammograms), and Ag/AgNO3 couple as the reference electrode; bmeasured in DCM; cmeasured in ACN.
Table 4: Gibbs free energy changes of the charge separation (ΔGCS) and energy of charge separation states (ECS) of the compounds in different solvents.a
| Compounds | ΔGCS (eV) | ECS (eV) |
|
| HEX | TOL | DCM | ACN | HEX | TOL | DCM | ACN |
|
| NI-PTZ-Fb | −0.23 | −0.39 | −0.83 | −0.95 | 2.38 | 2.22 | 1.78 | 1.66 |
| NI-PTZ-Phc | −0.26 | −0.42 | −0.86 | −0.98 | 2.35 | 2.19 | 1.75 | 1.63 |
| NI-PTZ-CH3d | −0.29 | −0.40 | −0.84 | −0.96 | 2.34 | 2.23 | 1.79 | 1.67 |
| NI-PTZ-OCH3e | −0.25 | −0.41 | −0.85 | −0.97 | 2.37 | 2.21 | 1.78 | 1.66 |
| NI-PTZ-C5f | −0.26 | −0.41 | −0.86 | −0.98 | 2.37 | 2.21 | 1.77 | 1.65 |
| NI-PTZ-F-Og | −0.02 | −0.18 | −0.63 | −0.75 | 3.22 | 3.06 | 2.62 | 2.49 |
| NI-PTZ-Ph-Oh | −0.01 | −0.17 | −0.62 | −0.74 | 3.25 | 3.06 | 2.65 | 2.52 |
| NI-PTZ-C5-Oi | −0.02 | −0.18 | −0.63 | −0.75 | 3.24 | 3.08 | 2.64 | 2.51 |
aCyclic voltammetry in deaerated solutions containing 0.10 M Bu4NPF6, a Pt electrode as counter electrode, a glassy carbon electrode as working electrode, and Ag/AgNO3 couple as the reference electrode; bE00 = 2.61 eV; cE00 = 2.61 eV; dE00 = 2.63 eV; eE00 = 2.63 eV; fE00 = 2.62 eV; gE00 = 3.24 eV; hE00 = 3.26 eV; iE00 = 3.26 eV. E00 (E00 = 1240/λ) is the singlet state energy of the compounds, λ is the wavelength of the crossing point of normalized UV–vis absorption spectra and fluorescence emission spectra.
![[1860-5397-19-79-6]](/__local/6/9B/90/7F08E976126045556BCB3FED3DF_11AE31AF_9967.png?e=.png)
Figure 6: Thermogravimetric analysis curves of NI-PTZ-F, NI-PTZ-Ph, NI-PTZ-CH3, NI-PTZ-OCH3, NI-PTZ-F-O, and NI-PTZ-Ph-O. Temperature range: 25–800 °C, heating rate: 10 °C/min in N2 atmosphere.
![[1860-5397-19-79-7]](/__local/1/D1/6B/732C66B7B3C47775B94F335DC5D_C9273B82_2A6A1.png?e=.png)
Figure 7: Femtosecond transient absorption spectra of NI-PTZ-F. (a) Transient absorption spectra and (b) the EADS obtained with global analysis in HEX. Femtosecond transient absorption spectra of NI-PTZ-F-O. (c) Transient absorption spectra and (d) relative EADS obtained with global analysis in ACN. λex = 340 nm.
![[1860-5397-19-79-8]](/__local/B/B1/AA/5A1BF3EB15C5B8AA83351998DA2_103D6ABD_16EEA.png?e=.png)
Figure 8: Nanosecond transient absorption spectra of NI-PTZ-F in deaerated solvents of (a) HEX (c = 2.0 × 10−5 M), (b) TOL (c = 2.0 × 10−5 M), (c) DCM (c = 1.0 × 10−4 M), and (d) ACN (c = 1.0 × 10−4 M). The corresponding decay traces are (e) HEX (c = 2.0 × 10−5 M), (f) TOL (c = 2.0 × 10−5 M), (g) DCM (c = 1.0 × 10−4 M), and (h) ACN (c = 1.0 × 10−4 M) at 430 nm. λex = 355 nm, 20 °C.
![[1860-5397-19-79-9]](/__local/6/0B/94/362412EC3F1296098D500D46323_F3B09AAB_1958A.png?e=.png)
Figure 9: Nanosecond transient absorption spectra of (a) NI-PTZ-F-O (c = 4.0 × 10−5 M), (b) NI-PTZ-Ph-O (c = 4.0 × 10−5 M), (c) NI-PTZ-C5-O (c = 4.0 × 10−5 M), and (d) F-NI-Br (c = 2.0 × 10−5 M). The corresponding decay traces are (e) NI-PTZ-F-O (c = 4.0 × 10−5 M), (f) NI-PTZ-Ph-O (c = 4.0 × 10−5 M), (g) NI-PTZ-C5-O (c = 4.0 × 10−5 M), and (h) F-NI-Br (c = 2.0 × 10−5 M) in deaerated ACN at 460 nm. λex = 355 nm, 20 °C.
Table 5: Summary of photochemical properties of the compounds.
| Compounds | TADF property | The last-observed transient species (fs-TA) | The lowest-lying transient species (ns-TA) |
|
|
| HEX | ACN | HEX | ACN | HEX | ACN |
|
| NI-PTZ-F | yes | –a | 3CS, 3LE | 3CS | 3CS, 3LE | 3CS |
| NI-PTZ-Ph | yes | –a | –b | –b | 3CS, 3LE | 3CS |
| NI-PTZ-CH3 | yes | –a | –b | –b | 3CS, 3LE | 3CS |
| NI-PTZ-OCH3 | yes | –a | –b | –b | 3CS, 3LE | 3CS |
| NI-PTZ-C5 | yes | –a | –b | –b | 3CS, 3LE | 3CS |
| NI-PTZ-F-O | no | no | –a | 3LE | 3LE | 3LE |
| NI-PTZ-Ph-O | no | no | –b | –b | 3LE | 3LE |
| NI-PTZ-C5-O | no | no | –b | –b | 3LE | 3LE |
aNot observed; bnot measured.
![[1860-5397-19-79-10]](/__local/C/FC/96/D22E1767072CAEA69AF6D0D423B_60D7E40D_F8ED.png?e=.png)
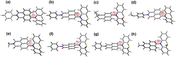
Figure 10: Optimized ground state geometry of (a) NI-PTZ-F, (b) NI-PTZ-Ph, (c) NI-PTZ-CH3, (d) NI-PTZ-OCH3, (e) NI-PTZ-C5, (f) NI-PTZ-F-O, (g) NI-PTZ-Ph-O, and (h) NI-PTZ-C5-O. Calculated at the B3LYP/6-31G(d) level of theory using Gaussian 09.
![[1860-5397-19-79-11]](/__local/E/84/52/588B8D2A277342290FC5234DF93_73B31A7E_2322A.png?e=.png)
Figure 11: Spin density surfaces of the dyads in the T1 state (gas phase) of (a) NI-PTZ-F, (b) NI-PTZ-Ph, (c) NI-PTZ-CH3, (d) NI-PTZ-OCH3, (e) NI-PTZ-F-O, and (f) NI-PTZ-Ph-O. Calculated at the B3LYP/6-31G(d) level of theory using Gaussian 09. Isovalues = 0.02.
![[1860-5397-19-79-12]](/__local/7/AF/DF/48B77DB9EF3392AED8B6E816C2F_79C6193C_2492E.png?e=.png)
Figure 12: Selected frontier molecular orbitals of NI-PTZ-F, NI-PTZ-Ph, NI-PTZ-C5, NI-PTZ-F-O, NI-PTZ-Ph-O, and NI-PTZ-C5-O calculated by DFT at the B3LYP/6-31G(d) level of theory using Gaussian 09, based on the optimized ground state geometries, respectively. Isovalues = 0.02.
![[1860-5397-19-79-i2]](/__local/D/A1/59/A148F5E37B615A6A02967E567B2_5B000B5B_BBBE.png?e=.png)
Scheme 2: Simplified Jablonski diagram of (a) NI-PTZ-F and (b) NI-PTZ-F-O. The 1LE state (1[NI–PTZ–F–O]*) energy is derived from the spectroscopic data (the intersection of normalized UV–vis absorption and fluorescence spectra). The triplet state (3[NI−•–PTZ+•–F–O]*) energy is computed by the TDDFT method, which was performed at the B3LYP/6-31G(d) level of theory using Gaussian 09W. The 1CS state (1[NI−•–PTZ+•–F–O]*) energy is obtained from electrochemical data in Table 4 (1CS/3CS: 2J < 0.2 eV).
Conclusion
In summary, we prepared a series of naphthalimide (NI)–phenothiazine (PTZ) electron donor–acceptor dyads, to make an in-depth study of the photophysical mechanism of the thermally activated delayed fluorescence (TADF) of the electron donor–acceptor emitters. In order to tune the photophysical properties, we changed the electron-donating and the electron-withdrawal capability of the PTZ and NI moieties, respectively. From the UV–vis absorption and fluorescence emission spectra, we observed changes of S0 → 1CS absorption bands, which showed the tuning effect. For the dyads containing a native PTZ unit, TADF was observed, and with changing the aryl substituents at the NI unit, the prompt and delayed fluorescence lifetimes changed as well. In polar solvents, no TADF was observed. Moreover, we did not observe TADF in the dyads with oxidized PTZ units. Femtosecond transient absorption spectra show the charge separation takes ca. 0.6 ps, and the formation of the admixture of 3LE and 1CS/3CS states was observed (in n-hexane). The decay of the 1CS state and charge recombination (CR) in aerated n-hexane takes ca. 7.92 ns. While for the dyads with an oxidized PTZ unit, 1CS state formation takes ca. 178 fs and the CR takes 4.53 ns to give the 3LE state (in acetonitrile). Nanosecond transient absorption (ns-TA) spectra show that both 3CS and 3LE states were observed for the scenario where TADF occur, whereas only the 3LE state or the 3CS state were observed for the systems lacking TADF. This is a rare but unambiguous experimental evidence that the spin–vibronic coupling of 3CS/3LE states is crucial for TADF. Without the mediating effect of the 3LE state, no TADF will be resulted, even if the long-lived 3CS state is populated (lifetime τCS ≈ 140 ns). This experimental result confirms the 3CS → 1CS reverse intersystem crossing (rISC) is slow, without coupling with an approximate 3LE state. Thermogravimetric analysis (TGA) shows that the thermal decomposition temperature of these compounds is higher than 360 °C, and the thermal stability is excellent. From the above studies, TADF properties of such compounds can be studied with conventional spectroscopic methods (the UV–vis absorption and fluorescence emission spectra, etc.), and herein we also demonstrated that transient absorption spectra (femtosecond/nanosecond transient absorption spectra) can be used to study the TADF properties, for instance by monitoring the dark states. In addition, we show that the TADF properties of these dyads can be tuned by changing the electron-donor (NI-PTZ-F-O, NI-PTZ-Ph-O) or electron-acceptor (NI-PTZ-F, NI-PTZ-Ph, NI-PTZ-CH3, NI-PTZ-OCH3). We found that the energy gaps between the three states (1CS, 3CS and 3LE states), which can be judiciously controlled by molecular design, play an important role in the occurrence of TADF. These studies not only contribute to the in-depth understanding of the photophysical mechanism of TADF emitters, but also provide more molecular systems for the molecular structure design of new electron donor–acceptor TADF emitters.