Preparation of amino-substituted anthraquinone: study of the intersystem crossing and application as efficient photoinitiators for photopolymerization†
Received 21st March 2023 , Accepted 28th April 2023
First published on 28th April 2023
DOI: 10.1039/D3NJ01330H (Paper) New J. Chem., 2023, 47, 10415-10423
https://pubs.rsc.org/en/content/articlehtml/2023/nj/d3nj01330h
Abstract
We prepared a series of amino-substituted 9,10-anthraquinone (AQ) derivatives to study the photophysical properties, especially the intersystem crossing (ISC) efficiency and the triplet excited states. Monoamino-substituted AQ derivatives show red-shifted absorption bands centered at 509 nm, as compared to the chloro-AQ derivatives (λabs = 340 nm). Interestingly, attaching an extra amino substituents on the AQ chromophore, i.e. the diamino substituted AQ derivatives, does not induce further red-shifting of the absorption band. We found that only diamino AQ derivatives show decent ISC efficiency (singlet oxygen quantum yield,ΦΔ, is up to 33.3%), whereas the monoamino-AQ derivatives show negligible ΦΔ values. Nanosecond transient absorption spectra indicate the formation of a triplet excited state, and the triplet excited state lifetime was determined to be ca. 2.5 μs. This relatively short triplet excited state lifetime is attributed to the n–π* character of the T1 states of the diamino substituted AQ derivatives, which is supported by DFT computations. We show that the bisamino-substituted AQs can be used as efficient photoinitiators for photopolymerization of alkene monomers, whereas the AQ derivatives with poor ISC capability only show a negligible photopolymerization effect. The mechanism is supposed to be hydrogen abstraction by the photoinitiators at triplet excited states. These results indicate that compounds showing efficient ISC and T1 state with n–π* character can be developed as efficient photoinitiators for radical polymerization of alkene monomers.

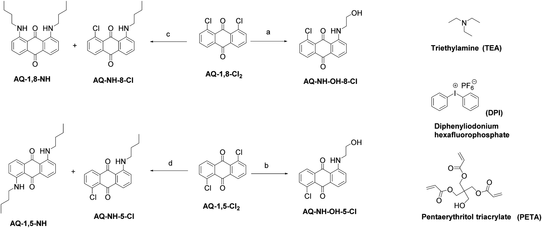
Scheme 1 Synthesis of the compounds. (a) Ethanolamine, dry triethylamine, dry toluene, 120 °C, reflux 24 h, yield: 23.0%. (b) Similar to step (a), yield: 20.0%. (c) Butylamine, dry DMF, 100 °C, reflux 3 h, yield: 9.0% for AQ-NH-8-Cl, 15.8% for AQ-1,8-NH. (d) Similar to step (c), yield: 10.6% for AQ-NH-5-Cl, 15.8% for AQ-1,5-NH.

| Fig. 1 UV-vis absorption spectra of the compounds in methanol (MeOH), with c = 1.0 × 10−5 M at 20 °C. |

| Fig. 2 (a) Fluorescence emission spectra of compounds in cyclohexane (CHX). (b) Fluorescence emission spectra of AQ-1,8-NH in different solvents. Optically matched solutions were used, with A = 0.1 at λex = 500 nm, at 20 °C. |

Fig. 3 Cyclic voltammogram of (a) AQ-1,5-Cl2, AQ-NH-OH-5-Cl, AQ-NH-5-Cl and AQ-1,5-NH and (b) AQ-1,8-Cl2, AQ-NH-OH-8-Cl, AQ-NH-8-Cl and AQ-1,8-NH in deaerated DCM containing 0.10 M Bu4NPF6 as the supporting electrode and with the Ag/AgNO3 reference electrode. Scan rate: 100 mV s−1. c = 1.0 × 10−3 M. Ferrocene (Fc) was used as the internal reference at 20 °C.

Fig. 4 Nanosecond transient absorption spectra of (a) AQ-1,5-NH and (b) AQ-1,8-NH in deaerated TOL. The corresponding decay traces monitored at 450 nm are presented in (c) AQ-1,5-NH and (d) AQ-1,8-NH, respectively. c = 5.0 × 10−5 M, λex = 506 nm, at 20 °C.
Table 1 Photophysical parameters of the compoundsa | Compounds | Solvents | λ abs /nm | ε | λ em /nm | Φ Δ /% |
|
|
|
|
|
|
|
|
|
|
|
|
|
|
|
|
|
|
|
|
|
|
|
|
|
|
|
|
|
|
|
|
|
|
|
|
|
|
|
|
|
|
|
|
|
|
|
|
|
|
|
|
|
|
|
|
|
|
|
|
|
|
|
|
|
|
|
|
|
|
|
|
|
|
|
|
|
|
|
|
|
|
|
|
|
|
|
|
|
|
|
|
|
|
|---|
| Maximal UV-vis absorption wavelength, c =1.0 × 10−5 M at 20 °C. Molar absorption coefficient at absorption wavelength, ε: 104 M−1 cm−1. Fluorescence emission wavelength, λex = 500 nm. Singlet oxygen (1O2) quantum yield with 2,6-didiiodo-Bodipy as the standard (ΦΔ = 87% in dichloromethane (DCM)) and λex = 500 nm. |
|---|
| AQ-NH-OH-5-Cl | CHX | 492 | 0.7 | 586 | 1.1 |
|
|
|
|
|
|
|
|
|
|
|
|
|
|
|
|
|
|
|
|
|
|
|
|
|
|
|
|
|
|
|
|
|
|
|
|
|
|
|
|
|
|
|
|
|
|
|
|
|
|
|
|
|
|
|
|
|
|
|
|
|
|
|
|
|
|
|
|
|
|
|
|
|
|
|
|
|
|
|
|
|
|
|
|
|
|
|
|
|
|
|
|
|
|
| DCM | 506 | 0.7 | 615 | 1.1 |
|
|
|
|
|
|
|
|
|
|
|
|
|
|
|
|
|
|
|
|
|
|
|
|
|
|
|
|
|
|
|
|
|
|
|
|
|
|
|
|
|
|
|
|
|
|
|
|
|
|
|
|
|
|
|
|
|
|
|
|
|
|
|
|
|
|
|
|
|
|
|
|
|
|
|
|
|
|
|
|
|
|
|
|
|
|
|
|
|
|
|
|
|
|
| ACN | 505 | 0.7 | 640 | 0.5 |
|
|
|
|
|
|
|
|
|
|
|
|
|
|
|
|
|
|
|
|
|
|
|
|
|
|
|
|
|
|
|
|
|
|
|
|
|
|
|
|
|
|
|
|
|
|
|
|
|
|
|
|
|
|
|
|
|
|
|
|
|
|
|
|
|
|
|
|
|
|
|
|
|
|
|
|
|
|
|
|
|
|
|
|
|
|
|
|
|
|
|
|
|
|
| AQ-NH-OH-8-Cl | CHX | 490 | 0.5 | 583 | 1.0 |
|
|
|
|
|
|
|
|
|
|
|
|
|
|
|
|
|
|
|
|
|
|
|
|
|
|
|
|
|
|
|
|
|
|
|
|
|
|
|
|
|
|
|
|
|
|
|
|
|
|
|
|
|
|
|
|
|
|
|
|
|
|
|
|
|
|
|
|
|
|
|
|
|
|
|
|
|
|
|
|
|
|
|
|
|
|
|
|
|
|
|
|
|
|
| DCM | 506 | 0.5 | 615 | 1.1 |
|
|
|
|
|
|
|
|
|
|
|
|
|
|
|
|
|
|
|
|
|
|
|
|
|
|
|
|
|
|
|
|
|
|
|
|
|
|
|
|
|
|
|
|
|
|
|
|
|
|
|
|
|
|
|
|
|
|
|
|
|
|
|
|
|
|
|
|
|
|
|
|
|
|
|
|
|
|
|
|
|
|
|
|
|
|
|
|
|
|
|
|
|
|
| ACN | 505 | 0.7 | 640 | 0.5 |
|
|
|
|
|
|
|
|
|
|
|
|
|
|
|
|
|
|
|
|
|
|
|
|
|
|
|
|
|
|
|
|
|
|
|
|
|
|
|
|
|
|
|
|
|
|
|
|
|
|
|
|
|
|
|
|
|
|
|
|
|
|
|
|
|
|
|
|
|
|
|
|
|
|
|
|
|
|
|
|
|
|
|
|
|
|
|
|
|
|
|
|
|
|
| AQ-NH- 5-Cl | CHX | 500 | 0.8 | 582 | 0.9 |
|
|
|
|
|
|
|
|
|
|
|
|
|
|
|
|
|
|
|
|
|
|
|
|
|
|
|
|
|
|
|
|
|
|
|
|
|
|
|
|
|
|
|
|
|
|
|
|
|
|
|
|
|
|
|
|
|
|
|
|
|
|
|
|
|
|
|
|
|
|
|
|
|
|
|
|
|
|
|
|
|
|
|
|
|
|
|
|
|
|
|
|
|
|
| DCM | 514 | 0.8 | 628 | 1.0 |
|
|
|
|
|
|
|
|
|
|
|
|
|
|
|
|
|
|
|
|
|
|
|
|
|
|
|
|
|
|
|
|
|
|
|
|
|
|
|
|
|
|
|
|
|
|
|
|
|
|
|
|
|
|
|
|
|
|
|
|
|
|
|
|
|
|
|
|
|
|
|
|
|
|
|
|
|
|
|
|
|
|
|
|
|
|
|
|
|
|
|
|
|
|
| ACN | 508 | 0.8 | 639 | 0.8 |
|
|
|
|
|
|
|
|
|
|
|
|
|
|
|
|
|
|
|
|
|
|
|
|
|
|
|
|
|
|
|
|
|
|
|
|
|
|
|
|
|
|
|
|
|
|
|
|
|
|
|
|
|
|
|
|
|
|
|
|
|
|
|
|
|
|
|
|
|
|
|
|
|
|
|
|
|
|
|
|
|
|
|
|
|
|
|
|
|
|
|
|
|
|
| AQ-NH- 8-Cl | CHX | 500 | 0.7 | 585 | 0.9 |
|
|
|
|
|
|
|
|
|
|
|
|
|
|
|
|
|
|
|
|
|
|
|
|
|
|
|
|
|
|
|
|
|
|
|
|
|
|
|
|
|
|
|
|
|
|
|
|
|
|
|
|
|
|
|
|
|
|
|
|
|
|
|
|
|
|
|
|
|
|
|
|
|
|
|
|
|
|
|
|
|
|
|
|
|
|
|
|
|
|
|
|
|
|
| DCM | 513 | 0.8 | 628 | 1.0 |
|
|
|
|
|
|
|
|
|
|
|
|
|
|
|
|
|
|
|
|
|
|
|
|
|
|
|
|
|
|
|
|
|
|
|
|
|
|
|
|
|
|
|
|
|
|
|
|
|
|
|
|
|
|
|
|
|
|
|
|
|
|
|
|
|
|
|
|
|
|
|
|
|
|
|
|
|
|
|
|
|
|
|
|
|
|
|
|
|
|
|
|
|
|
| ACN | 509 | 0.7 | 639 | 0.8 |
|
|
|
|
|
|
|
|
|
|
|
|
|
|
|
|
|
|
|
|
|
|
|
|
|
|
|
|
|
|
|
|
|
|
|
|
|
|
|
|
|
|
|
|
|
|
|
|
|
|
|
|
|
|
|
|
|
|
|
|
|
|
|
|
|
|
|
|
|
|
|
|
|
|
|
|
|
|
|
|
|
|
|
|
|
|
|
|
|
|
|
|
|
|
| AQ-1,5-NH | CHX | 506 | 1.7 | 574 | 20.9 |
|
|
|
|
|
|
|
|
|
|
|
|
|
|
|
|
|
|
|
|
|
|
|
|
|
|
|
|
|
|
|
|
|
|
|
|
|
|
|
|
|
|
|
|
|
|
|
|
|
|
|
|
|
|
|
|
|
|
|
|
|
|
|
|
|
|
|
|
|
|
|
|
|
|
|
|
|
|
|
|
|
|
|
|
|
|
|
|
|
|
|
|
|
|
| DCM | 525 | 1.6 | 604 | 33.3 |
|
|
|
|
|
|
|
|
|
|
|
|
|
|
|
|
|
|
|
|
|
|
|
|
|
|
|
|
|
|
|
|
|
|
|
|
|
|
|
|
|
|
|
|
|
|
|
|
|
|
|
|
|
|
|
|
|
|
|
|
|
|
|
|
|
|
|
|
|
|
|
|
|
|
|
|
|
|
|
|
|
|
|
|
|
|
|
|
|
|
|
|
|
|
| ACN | 519 | 1.6 | 617 | 19.6 |
|
|
|
|
|
|
|
|
|
|
|
|
|
|
|
|
|
|
|
|
|
|
|
|
|
|
|
|
|
|
|
|
|
|
|
|
|
|
|
|
|
|
|
|
|
|
|
|
|
|
|
|
|
|
|
|
|
|
|
|
|
|
|
|
|
|
|
|
|
|
|
|
|
|
|
|
|
|
|
|
|
|
|
|
|
|
|
|
|
|
|
|
|
|
| AQ-1,8-NH | CHX | 506 | 1.5 | 571 | 24.5 |
|
|
|
|
|
|
|
|
|
|
|
|
|
|
|
|
|
|
|
|
|
|
|
|
|
|
|
|
|
|
|
|
|
|
|
|
|
|
|
|
|
|
|
|
|
|
|
|
|
|
|
|
|
|
|
|
|
|
|
|
|
|
|
|
|
|
|
|
|
|
|
|
|
|
|
|
|
|
|
|
|
|
|
|
|
|
|
|
|
|
|
|
|
|
| DCM | 522 | 1.5 | 605 | 30.9 |
|
|
|
|
|
|
|
|
|
|
|
|
|
|
|
|
|
|
|
|
|
|
|
|
|
|
|
|
|
|
|
|
|
|
|
|
|
|
|
|
|
|
|
|
|
|
|
|
|
|
|
|
|
|
|
|
|
|
|
|
|
|
|
|
|
|
|
|
|
|
|
|
|
|
|
|
|
|
|
|
|
|
|
|
|
|
|
|
|
|
|
|
|
|
| ACN | 520 | 1.4 | 617 | 17.8 |
|
|
|
|
|
|
|
|
|
|
|
|
|
|
|
|
|
|
|
|
|
|
|
|
|
|
|
|
|
|
|
|
|
|
|
|
|
|
|
|
|
|
|
|
|
|
|
|
|
|
|
|
|
|
|
|
|
|
|
|
|
|
|
|
|
|
|
|
|
|
|
|
|
|
|
|
|
|
|
|
|
|
|
|
|
|
|
|
|
|
|
|
|
|
Table 2 Electrochemical redox potentials of the compoundsa
| E OX/V | E RED/V |
|
|
|
|
|
|
|
|
|
|
|
|
|
|
|
|
|
|
|
|
|
|
|
|
|
|
|
|
|
|
|
|
|
|
|
|
|
|
|
|
|
|
|
|
|
|
|
|
|
|
|
|
|
|
|
|
|
|
|
|
|
|
|
|
|
|
|
|
|
|
|
|
|
|
|
|
|
|
|
|
|
|
|
|
|
|
|
|
|
|
|
|
|
|
|
|
|
|---|
| Cyclic voltammetry in N2-saturated solvents DCM containing 0.10 M Bu4NPF6. The Pt electrode as the counter electrode, glassy carbon electrode as the working electrode, ferrocene (Fc/Fc+) as the internal reference (set as 0 V in the cyclic voltammograms), and Ag/AgNO3 couple as the reference electrode. Not observed. |
|---|
| AQ-1,5-Cl2 | —b | −1.30, −1.91 |
|
|
|
|
|
|
|
|
|
|
|
|
|
|
|
|
|
|
|
|
|
|
|
|
|
|
|
|
|
|
|
|
|
|
|
|
|
|
|
|
|
|
|
|
|
|
|
|
|
|
|
|
|
|
|
|
|
|
|
|
|
|
|
|
|
|
|
|
|
|
|
|
|
|
|
|
|
|
|
|
|
|
|
|
|
|
|
|
|
|
|
|
|
|
|
|
|
| AQ-1,8-Cl2 | —b | −1.30, −1.91 |
|
|
|
|
|
|
|
|
|
|
|
|
|
|
|
|
|
|
|
|
|
|
|
|
|
|
|
|
|
|
|
|
|
|
|
|
|
|
|
|
|
|
|
|
|
|
|
|
|
|
|
|
|
|
|
|
|
|
|
|
|
|
|
|
|
|
|
|
|
|
|
|
|
|
|
|
|
|
|
|
|
|
|
|
|
|
|
|
|
|
|
|
|
|
|
|
|
| AQ-NH-OH-5-Cl | 0.91 | −1.40, −1.84 |
|
|
|
|
|
|
|
|
|
|
|
|
|
|
|
|
|
|
|
|
|
|
|
|
|
|
|
|
|
|
|
|
|
|
|
|
|
|
|
|
|
|
|
|
|
|
|
|
|
|
|
|
|
|
|
|
|
|
|
|
|
|
|
|
|
|
|
|
|
|
|
|
|
|
|
|
|
|
|
|
|
|
|
|
|
|
|
|
|
|
|
|
|
|
|
|
|
| AQ-NH-OH-8-Cl | 0.91 | −1.40, −1.84 |
|
|
|
|
|
|
|
|
|
|
|
|
|
|
|
|
|
|
|
|
|
|
|
|
|
|
|
|
|
|
|
|
|
|
|
|
|
|
|
|
|
|
|
|
|
|
|
|
|
|
|
|
|
|
|
|
|
|
|
|
|
|
|
|
|
|
|
|
|
|
|
|
|
|
|
|
|
|
|
|
|
|
|
|
|
|
|
|
|
|
|
|
|
|
|
|
|
| AQ-NH- 5-Cl | 0.93 | −1.43, −1.99 |
|
|
|
|
|
|
|
|
|
|
|
|
|
|
|
|
|
|
|
|
|
|
|
|
|
|
|
|
|
|
|
|
|
|
|
|
|
|
|
|
|
|
|
|
|
|
|
|
|
|
|
|
|
|
|
|
|
|
|
|
|
|
|
|
|
|
|
|
|
|
|
|
|
|
|
|
|
|
|
|
|
|
|
|
|
|
|
|
|
|
|
|
|
|
|
|
|
| AQ-NH- 8-Cl | 0.94 | −1.43, −2.01 |
|
|
|
|
|
|
|
|
|
|
|
|
|
|
|
|
|
|
|
|
|
|
|
|
|
|
|
|
|
|
|
|
|
|
|
|
|
|
|
|
|
|
|
|
|
|
|
|
|
|
|
|
|
|
|
|
|
|
|
|
|
|
|
|
|
|
|
|
|
|
|
|
|
|
|
|
|
|
|
|
|
|
|
|
|
|
|
|
|
|
|
|
|
|
|
|
|
| AQ-1,5-NH | 0.77 | −1.55, −2.07 |
|
|
|
|
|
|
|
|
|
|
|
|
|
|
|
|
|
|
|
|
|
|
|
|
|
|
|
|
|
|
|
|
|
|
|
|
|
|
|
|
|
|
|
|
|
|
|
|
|
|
|
|
|
|
|
|
|
|
|
|
|
|
|
|
|
|
|
|
|
|
|
|
|
|
|
|
|
|
|
|
|
|
|
|
|
|
|
|
|
|
|
|
|
|
|
|
|
| AQ-1,8-NH | 0.78 | −1.52, −2.07 |
|
|
|
|
|
|
|
|
|
|
|
|
|
|
|
|
|
|
|
|
|
|
|
|
|
|
|
|
|
|
|
|
|
|
|
|
|
|
|
|
|
|
|
|
|
|
|
|
|
|
|
|
|
|
|
|
|
|
|
|
|
|
|
|
|
|
|
|
|
|
|
|
|
|
|
|
|
|
|
|
|
|
|
|
|
|
|
|
|
|
|
|
|
|
|
|
|

Fig. 5 Selected frontier molecular orbitals of compounds calculated by DFT (B3LYP/6-31G (d)) in a vacuum with Gaussian 09, isovalue = 0.02, based on the optimized ground state geometry. The energy levels of the orbits are presented (in eV).
|

Fig. 6 Electron spin density surfaces of the triplet state of (a) AQ-1,5-NH and (b) AQ-1,8-NH calculated by DFT (B3LYP/6-31G(d)) in gas phase with Gaussian 09. Isovalue = 0.0004.

Fig. 7 States energy level diagram of (a) AQ-1,5-NH, (b) AQ-1,8-NH, (c) AQ-NH-5-Cl, (d) AQ-NH-8-Cl, (e) AQ-NH-OH-5-Cl and (f) AQ-NH-OH-8-Cl after TD-DFT calculation at the B3LYP/6-31G(d) level using Gaussian 09.

Fig. 8 Photochemical mechanisms of the generation of radicals for the Ps/DPI system upon photoexcitation.

Fig. 9 Photobleaching of the compounds in the presence of electron acceptors upon white light irradiation, monitored by the evolution of the absorbance of AQ-NH-OH-5-Cl/DPI, AQ-NH-OH-8-Cl/DPI, AQ-NH-5-Cl/DPI, AQ-NH-8-Cl/DPI, AQ-1,5-NH/DPI and AQ-1,8-NH/DPI at 520 nm vs. irradiation time upon exposure to a 35 W xenon lamp (unfiltered white light intensity: 30 mW cm−2) in deaerated acetonitrile, c [photosensitizer] = 5.0 × 10−5 M, c [DPI] = 30 mM.

Fig. 10 The photopolymerization of PETA under N2 before irradiation using a 35 W xenon lamp (unfiltered white light intensity: 200 mW cm−2) with different photoinitiators. (a), (e), (i), (m), (q) and (u) In the absence of the photosensitizer, only PETA. In the presence of (c) AQ-1,5-NH, (g) AQ-1,8-NH, (k) AQ-NH-5-Cl, (o) AQ-NH-8-Cl, (s) AQ-NH-OH-5-Cl and (w) AQ-NH-OH-8-Cl. The photopolymerization of PETA after irradiation using a 35 W xenon lamp (unfiltered white light intensity: 200 mW cm−2). (b), (f), (j), (n), (r) and (v) In the absence of the photosensitizer, only PETA. In the presence of (d) AQ-1,5-NH, (h) AQ-1,8-NH, (l) AQ-NH-5-Cl, (p) AQ-NH-8-Cl, (t) AQ-NH-OH-5-Cl and (x) AQ-NH-OH-8-Cl. Photosensitizer: 0.3 wt%. The photopolymerization activity is shown in the gelation of liquid blends upon photoirradiation.

Fig. 11 Photopolymerization's time of PETA under N2 in the presence of anthraquinone derivative-based PISs (photosensitizer: 0.3 wt%; DPI or TEA: 6.2 wt%) obtained upon exposure to a 35 W xenon lamp, unfiltered white light intensity = 200 mW cm−2.
Conclusion
In summary, we prepared a series of 9,10-anthraquinone (AQ) derivatives, with different chloride and alkylamino substituents attached. We found that the amino-substituted AQ derivatives give rise to absorption bands centred at ca. 509 nm, which are red shifted by ca. 169 nm as compared to those of chloro AQs. We found that addition of an extra amino group does not induce a further red-shift of the absorption band. The amino-substituted AQ derivatives show much red-shifted and weaker emission bands in polar solvents as those in non-polar solvents, indicating the intramolecular charge transfer character of the emissive S1 state. The intersystem crossing (ISC) efficiency of the bisamino-substituted AQ derivatives is moderate (singlet oxygen quantum yields are 17–33%), whereas the ISC of the mono amino AQ derivatives is negligible. Nanosecond transient absorption spectra confirmed the production of triplet excited states for the bisamino AQ derivatives, and the triplet state lifetimes were determined to be 2.4–2.7 μs, This unusually short triplet excited state lifetime is attributed to the n–π* character of the T1 states of two compounds, and this is supported by the theoretical computation of the compounds. Preliminary studies of photopolymerization with the AQ derivatives as photoinitiators show that the bisamino AQ derivatives are efficient photoinitiators, even in the absence of typical coinitiators such as diphenyliodonium hexafluorophosphate (DPI) and triethylamine (TEA). The initiating mechanism is supposed to be hydrogen atom abstraction of the 3AQ state, which is typical for photoinitiators with the T1 state of n–π* character. In the presence of DPI, intermolecular electron transfer and phenyl radical is produced, which initiates the radical polymerization. These highly efficient bisaminoanthraquinone-based photoinitiating systems will be useful in lithography and 3D printing.