2022
当前位置: 首页 >> 在线课堂 >> 2022 >> 正文
论文图片中的文字格式和误差作图
发布时间:2022-08-31 发布者: 浏览次数:

论文图片中的文字格式和误差作图


 写在前面
论文的格式规范实际上是在撰写大小论文时需要非常重视的问题,格式很大程度上可以反映作者对待论文的态度,因此,论文格式很有可能受到大小论文评审专家的关注。同时,相比正文的文字描述而言,图片往往是更受关注的部分。

作图的基本要素,尺寸,输出方法等等通过搜索引擎基本都能搜到,此处不额外展开。今天我们主要讲讲平时比较容易被忽视的论文插图里面的文字格式相关问题。与此同时,所提到的格式规范同样适用于正文内的描述、公式等内容,希望能对平时不太注意这些细节的同学有所帮助。

用来举例说明格式问题的图片均来自前两天推送的文章:用于高效能量收集的二元硫族化物的声子非谐性,由于是综述文章,可能收纳了来自不同文献的图片,导致作图风格与样式不太统一,但能避免的问题仍需尽量避免。

       一、字体的统一
在Origin教程(2)的对应视频( https://b23.tv/ZNndBiC)中,我们提到过字体主要可以分为衬线字体和非衬线字体两大类,如下图所示,中文的话衬线体中楷体、宋体等较为常用,非衬线体则以黑体、等线为代表。

由于非衬线字体各处粗细一致,在较小的论文插图中仍能保持清晰的效果,在顶刊中比较常见。
此处我们要注意的是在同一篇论文中,尤其是同一张图片中,所有文字的字体需要保持一致。即使是在PPT里面,同一页面出现三种以上的字体往往也不会显得美观。

上面提到,综述文章可能会因为图源不同出现字体的差异,但同张图内保持相同字体并不是太苛刻的要求,我们看一下反面例子,下图中蓝框所示的是衬线字体,红框对应非衬线字体。

为避免发生这一现象,建议大家在使用Origin作图时所有文字均设为默认字体,以保证所有字体的一致性。默认字体的修改可通过菜单Preference-Options(Ctrl+U)呼出设置界面,在Text Fonts选项卡内改变Default一项实现,详见Origin教程(2)。

       二、正体与斜体
变量需要使用斜体来表示可能大家都知道,但具体到正文、公式以及图片里面时很有可能会忽视掉对应的修改。此处我们先较详细地罗列一下使用正体和斜体的情况:
正体:
函数及元素符号:sin, exp, Nb, Fe, Sb…
缩写词、人名/仪器缩写:min,Fermi,XRD…
单位及运算符:m, kg, +, =, d, ∂, ∆…

数学常数:π, e.
能级、纯度等:4s, 3N (99.9%)…
斜体:
特别标注的词汇、句子惯例(例如PPT中的参考文献期刊名可倾斜)各类变量,包括代数字母及物理量(x,y,k,E…)
未确定的化学元素符号(MCoSb,RFeSb…)

其中,在输入公式时人名缩写往往会被忘记改为正体,例如费米能级EF,玻尔兹曼常数kB。用颜色分别框出正体与斜体,如下所示:


可以看到综述中的公式内正体都是按规范修改好的,但图片里例如图5(c)坐标轴标签内变量未倾斜,图3内的晶格热导率下标L未回正(L实为lattice的缩写,应使用正体)。除此以外,实际上我自己之前也没有注意到运算符的问题,公式中微分符号“d”应改为正体,已发布的部分教程中存在此问题,望各位见谅。

      三、标点及空格

在英文段落内,需要注意切忌出现全角字符(中文标点),这里我分别输入几个中英文标点,中文用红色注明:
,,,,,,。。。…::::::((((((

大家应该可以很清晰地看到两者的区别,全角字符会占据更多的空间,且形状会有一定差异。此外,一般来说在英文中较少用到冒号和分号。
对空格的使用,一般有如下注意事项:
1. 英文单词之间加空格,相信这个大家都没问题。
2. 物理量的数值与单位之间加空格。
3. 标点后方加空格(左引号,左括号除外)。
4. 运算符前后是否加空格需全文统一。

其中2、4两点可能会被忽视。实际上我们在描述某物理量时,数字和单位都对应英文单词,根据第1点要求,需要加上空格。例如:电阻率为 5 Ω m。百分号和角度与数字之间不用加空格,比如15%,3°16′28″。当单位之间分别是乘除关系时,空格也可以使用点乘号和斜杠(代表分数)代替。运算符前后加不加空格的主要考量在于如果不加,可能会显得过于拥挤,不太美观,大家可以自行对比一下,例如5+3=8和5 + 3 = 8,但别忘了全文需要保持一致,接下来大家应该很容易可以看出下图中缺少空格的地方了:

在热电领域的文章中,在热导率、功率因子、迁移率等物理量的单位中间似乎大部分人(包括我自己)都没有加空格的习惯,希望今后至少我们组的同学可以注意一下这个细节。

      四、其他问题
接下来,我们再看看这篇文章的作图中其它出现的问题(对不起原作者,还好不是中国人我才敢这样发出来hhhhh,也不知道最终校稿之后这些问题有没有修正),下图为原文图1:

可以看到(a)图的横坐标缺少标题T(K),且纵轴标题过小,一般而言我们首先关注横纵坐标对应的是什么物理量,再去看具体数值,因此标题的字号往往会大于刻度数值,至少是相等。

下图是图6和图8:

其中温度到底是使用英文单词Temperature还是符号T来表示并未统一,且图8(a)图明显有被横向压缩的痕迹,且和b图的边框粗细相差较大。可以初步判断是两张图被分别作出,之后在Word或者PPT中被压缩合并得到,此处建议大家直接使用Origin中的多图合并进行组图操作。如果后面有空的话我会出一下对应的教程(网上应该也能搜到)顺便讲一讲值得注意的相关细节。再看(b)图,左右两边纵坐标单位分别是每厘米和meV,但标题都是频率,虽然两者其实都和频率有一一对应关系,但是量纲还是有所差异的,如果是我作图的话可能会把坐标轴标题分别改成波数(wave number)和声子能量(phonon energy),以保证和单位对应,这里具体怎么起标题大家自行考量吧。关于副刻度的注意事项这里我懒得打字了大家看视频吧23333

最后,希望大家也不要因为本文提到的问题过于担忧,很多时候我们只是还没入门,没人仔细教过,也没自己去学,所以既对软件不够熟悉,想改不知道怎么改,也不知道格式上有哪些要注意的地方,自己错了也发现不了。那么至少你今天看到了这篇文章,以后多多注意就好啦~就像18年我还是小白的时候发的第一篇文章,上面提到的问题似乎一个也没放过,这里发出来给大家献丑了:

可以看到上图不管是字体的统一(图b坐标刻度应该是Arial)还是正体斜体问题(态密度有效质量下标d未回正)还是空格的使用(坐标轴标题内单位的括号中莫名多了俩空格)全都有格式错误,组图也全是用PPT组的。对于当时的我而言其实光改改化学式里面的斜体就是件很吃力的事情了,那今天看看,自己在这方面的成长还是挺明显的~至少还有机会在大论文里改掉,不留遗憾,就用上图和大家共勉!

     4种科研误差图总结,简单易绘,你绘了吗?
误差是科学研究中不可或缺的一部分。如拟合公式误差、理论公式误差、预测模型误差、试验数据误差等等。前期我们已经讨论了4种误差图的origin绘制方法(直接型、对角型、置信区间型、误差棒型),今天主要对4种方法进行总结,讨论下各图形的适用范围以及如何选择。

第一类:直接型误差图
直接型误差图是将误差(残差、百分比误差等)为纵坐标轴,样本编号/时间/空间等为横坐标轴绘制出来的散点图/点线图。

直接型误差图的适用范围很广,如拟合公式误差、数据挖掘误差、理论公式误差等等,其中数据挖掘误差用直接型误差图最为合适。当今是大数据时代,数据挖掘已经渗入到各行各业以及生活的方方面面,“万物皆可挖”。由于数据挖掘(如神将网络、随机深林等等)简单好懂,若不做细,也不需要太多学习成本,是“水”论文的绝佳选择。

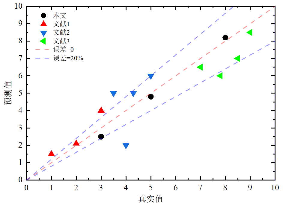
对角线误差图就是真实值为横轴,预测值为纵轴,那么直线y=x其实就是0误差线;残差线与y=x平行,即y=x+b,其中b为残差;百分比误差线为y=(1±c)x,c为百分比误差,很明显为两条过原点的直线。其实也可以加入置信区间。

要想“站在巨人的肩膀上”就要在精度上超越巨人。有时候我们并没有足够的时间和精力去开展大量试验来检验自己的模型/公式/算法的准确性,那么我们就可以利用已有文献中的数据来丰富检验数据(origin可以很简单地提取图片中的数据)。对角线误差图大致可以分为4个层次。
1.自己的方法—自己的实验数据。
2.自己的方法—不同文献的数据。
3.自己的方法和其它文献中的方法—自己的实验数据。
4.自己的方法和其它文献中的方法—不同文献的数据。

 

第三类:置信区间型误差图
置信区间型误差图其实就是在拟合曲线上加上置信区间/预测区间。
置信区间型误差图有个前提条件—先拟合,故这也限制了它的适用范围,只能用于表达拟合公式的精度。

第四类:误差棒型误差图
误差棒型误差图其实就是用平行试验数据的均值作为数据点,误差(标准偏差SD、标准误差SE)作为误差棒绘制的带误差棒的点线图/柱状图等等。

科研中我们有时会遇到一些指标的试验数据离散性大,也就是平行实验数据不尽相同。这时我们就可以在基本绘图中加入误差棒/带,来表现这种离散性,这能让审稿人对你的数据多一分信任。


海南省生物材料与医疗器械工程研究中心/海南省创伤与灾难救援研究重点实验室版权所有 ©2024

地       址:海南省海口市龙华区学院路3号力行楼C栋1层

联系电话:0898-66892503 

微博

微信扫一扫

扫一扫手机访问