2024
当前位置: 首页 >> 在线课堂 >> 2024 >> 正文
荧光大讲堂第八讲-时间分辨荧光各向异性
发布时间:2024-01-11 发布者: 浏览次数:

科研趣味 科研趣味 2023-11-24 08:52

时间分辨荧光各向异性





时间分辨荧光各向异性(Time-Resolved Fluorescence Anisotropy,TRFA)是一种荧光光谱技术,用于研究分子在空间方向上的运动或取向。它结合了时间分辨荧光光谱和各向异性测量的原理。

图片

TRFA的测定



TRFA通过测量荧光分子在不同时间点和不同方向上的荧光偏振来实现。通常,荧光分子的荧光是各向同性的,也就是说,在任何方向上都是均匀分布的。但是,如果分子受到运动或定向约束,其荧光就可能变得各向异性,这意味着在不同方向上的荧光强度可能不同。TRFA使用来自激发光源的短脉冲激发光激发样品中的荧光分子,然后测量在不同时间延迟下样品中的荧光强度。通过测量在不同方向上的荧光偏振,可以了解分子在不同时间点的定向分布情况。这可以用来研究分子的运动、旋转或结构变化,以及分子之间的相互作用。

1. 激发和发射过程:


TRFA通常使用激发光源,如飞秒激光或脉冲激光,来激发样品中的荧光分子。这些激发光通常是具有已知极化方向的偏振光。一旦激发,荧光分子会发射荧光光子。发射光子的偏振方向可以与激发光子的偏振方向不同,这取决于分子的运动和取向。

    2. 时间分辨测量:


    TRFA侧重于测量荧光信号在时间上的变化。它使用时间分辨技术来记录荧光信号的强度和极化状态随时间的演化。这需要快速检测系统来捕捉荧光光子的时间信息,通常需要在纳秒或飞秒时间尺度上进行测量。

    3. 各向异性测量:


    TRFA还涉及测量荧光信号的各向异性。各向异性是指荧光分子在不同方向上的荧光强度差异。通过测量垂直和平行于激发光极化方向的荧光强度,可以计算出各向异性参数。这些参数反映了分子的取向分布情况。

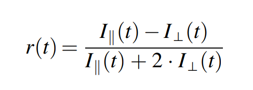
    时间分辨荧光各向异性的定义是:

    图片

    I||(t) 和 I(t) 是实验观测值:分别在发射偏振器平行于和垂直于激发光偏振方向的情况下记录的荧光强度衰减曲线。平行(0°)和垂直(90°)方向是指相对于确定 0°的激发偏振面方向而言。由于分子和分母都有强度这一物理量,因此 r(t) 是一个无量纲的量。由于强度归一化(分母),各向异性与总发射强度无关,这是一个很大的优势。图 2 显示了输入数据(I||(t) 和 I(t)衰减曲线)的示例,以及根据上述公式直接计算出的各向异性衰减函数 r(t)。

    图片


    图2. 室温下溶解在乙二醇中的香豆素 6 的偏振光强度衰减曲线和各向异性衰减计算结果。(a) 作为主要观测指标的平行和垂直偏振光强度衰减曲线。为便于比较,还用虚线绘制了 IRF。(b) 逐点计算的各向异性衰减曲线。对 r(t) 的适当部分拟合了单指数衰减模型。


    图 2 展示了一个时间分辨荧光各向异性的测定结果,乙二醇溶剂在室温下的高粘度大大减缓了香豆素 6 染料分子的旋转,所以其各向异性衰减在 I||(t) 和 I(t) 衰减曲线中清晰可见。将这些衰变曲线代入 r(t) 的定义式后,我们就得到了图 2b 所示的各向异性衰变。


    但是值得注意的是,在图 2a 中,香豆素 6的 I||(t)和 I(t) 的不同形状在最初的几纳秒内非常明显,但在随后的时间里,两条衰减曲线完全相同,这是因为虽然粘稠的溶剂会产生更慢的荧光各向异性衰减,但是随着时间的推移,染料分子的旋转取向将完全随机化。


    在生物样本中,我们有时会遇到分子运动受限导致旋转受阻的情况。例如,嵌入脂质双分子层的杆状探针分子,或共价连接到蛋白质上的荧光标签。在这种情况下,r(t) 在足够长的 t 时间内可能不会达到 0,比如在共价标记蛋白质中,典型 r(t)具有一个快速但受阻的衰减分量。



    TRFA测定注意事项



    选择合适的荧光探针


    荧光探针应具有较长的荧光寿命(> 1 ns),以便与短寿命的背景信号区分开来。此外,荧光探针应具有较高的荧光量子产率和稳定性,以保证测量的灵敏度和可重复性。

    选择合适的激发光源和检测器


    激发光源应具有较短的脉冲宽度(< 100 ps),以便获得较高的时间分辨率。检测器应具有较高的灵敏度和响应速度,以便捕获荧光信号的衰减过程。

    选择合适的测量参数


    测量参数包括激发光强度、检测器增益、采样间隔、积分时间等。这些参数应根据荧光探针的特性和样品的浓度进行优化,以获得最佳的信噪比和动态范围。

    选择合适的数据分析方法


    数据分析方法包括荧光寿命拟合、荧光各向异性拟合、荧光共振能量转移(FRET)分析等。这些方法应根据实验目的和样品的性质进行选择,以获得最准确和有意义的结果

    扩展阅读:

    安捷伦的时间分辨荧光技术介绍

    https://www.agilent.com.cn/zh-cn/technology/time-resolved-fluorescence



    海南省生物材料与医疗器械工程研究中心/海南省创伤与灾难救援研究重点实验室版权所有 ©2024

    地       址:海南省海口市龙华区学院路3号力行楼C栋1层

    联系电话:0898-66892503 

    微博

    微信扫一扫

    扫一扫手机访问