taptap点点官网
设为首页
|
加入收藏
首页
学院概况
学院简介
学院领导
师资队伍
硕士生导师
博士生导师
党群工作
党建工作
纪检工作
教育教学
专业设置
教学工作
课程建设
荣誉室
专业认证
科学研究
科研概况
科研动态
科研项目与成果
政策法规
学科与室验室建设
重点学科
实验室
学生工作
研究生工作
本科生工作
名医名师
科学研究
科研概况
科研动态
科研项目与成果
政策法规
当前位置:
首页
>>
科学研究
>>
科研项目与成果
>> 正文
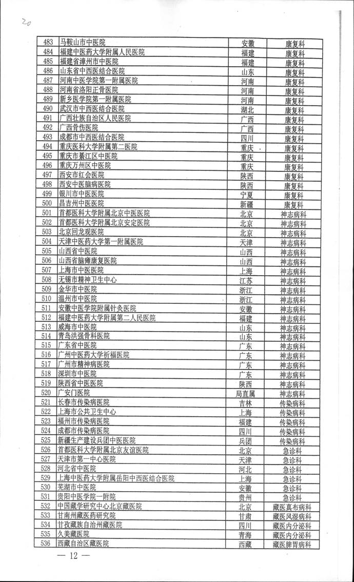
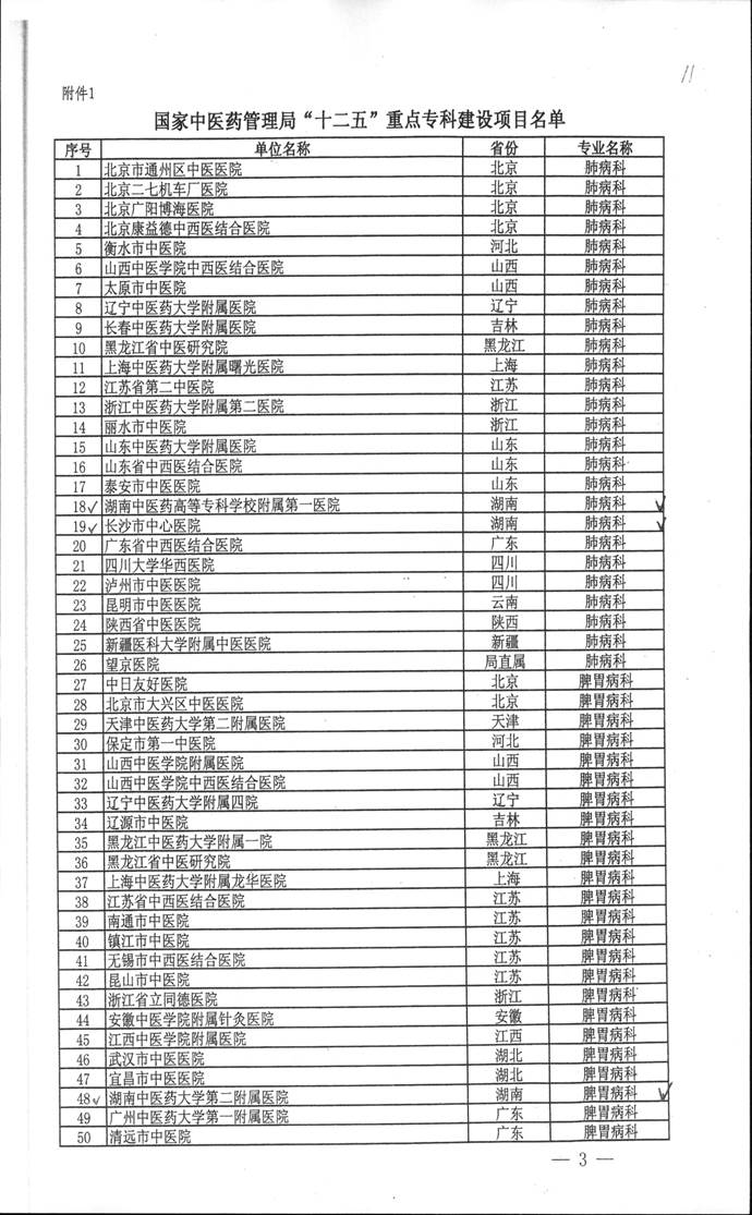
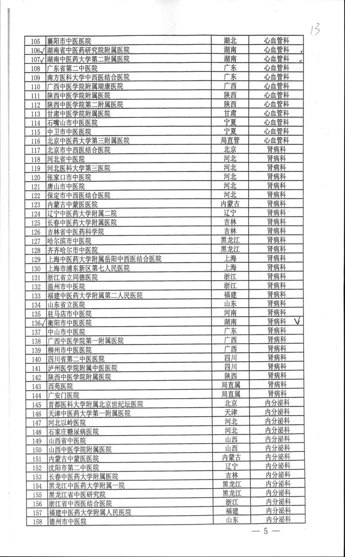
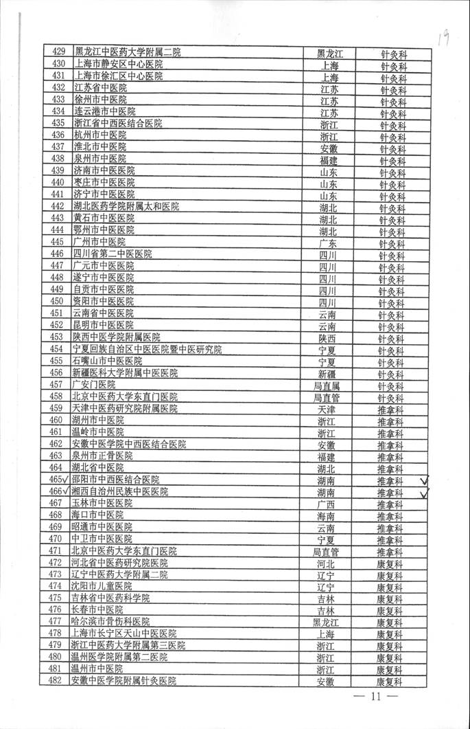
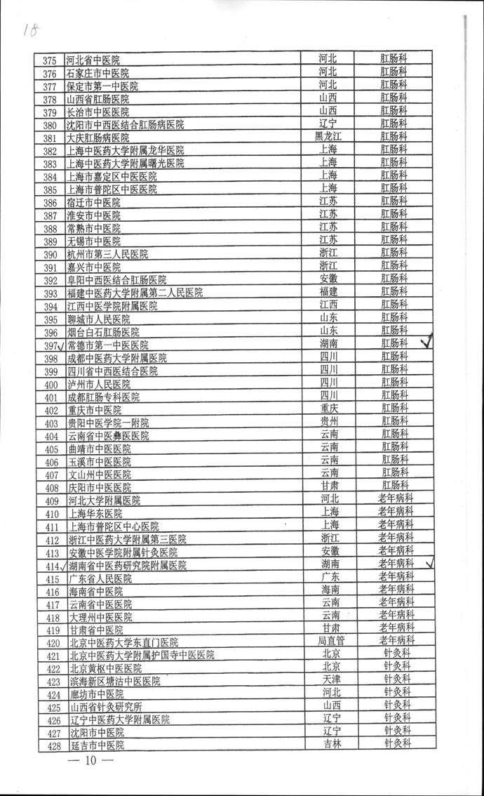
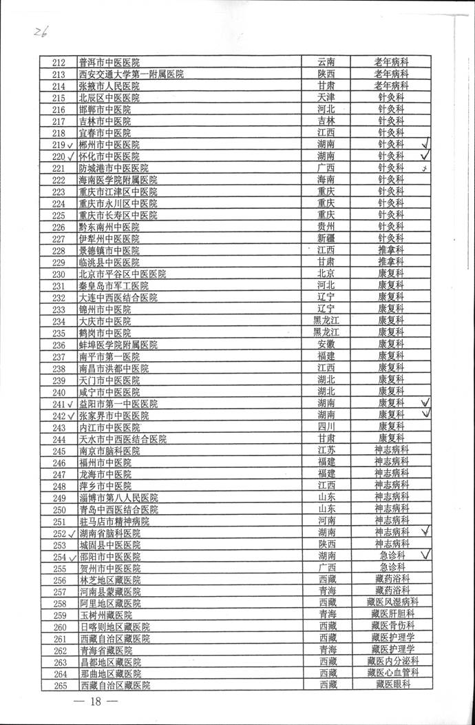
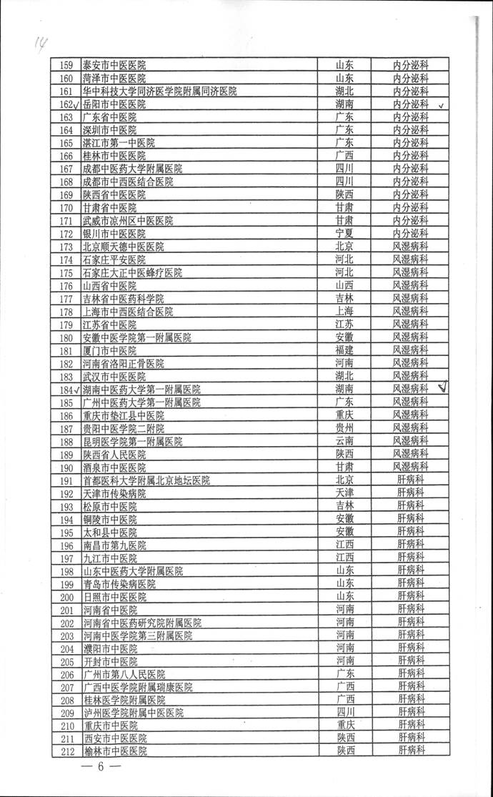
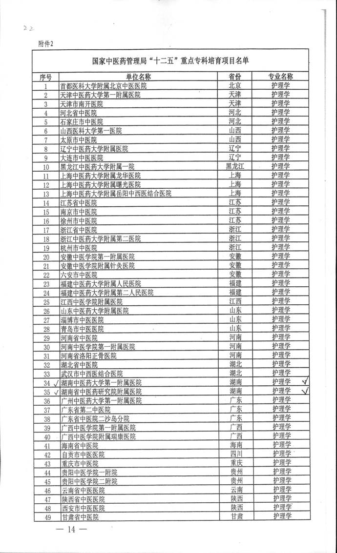
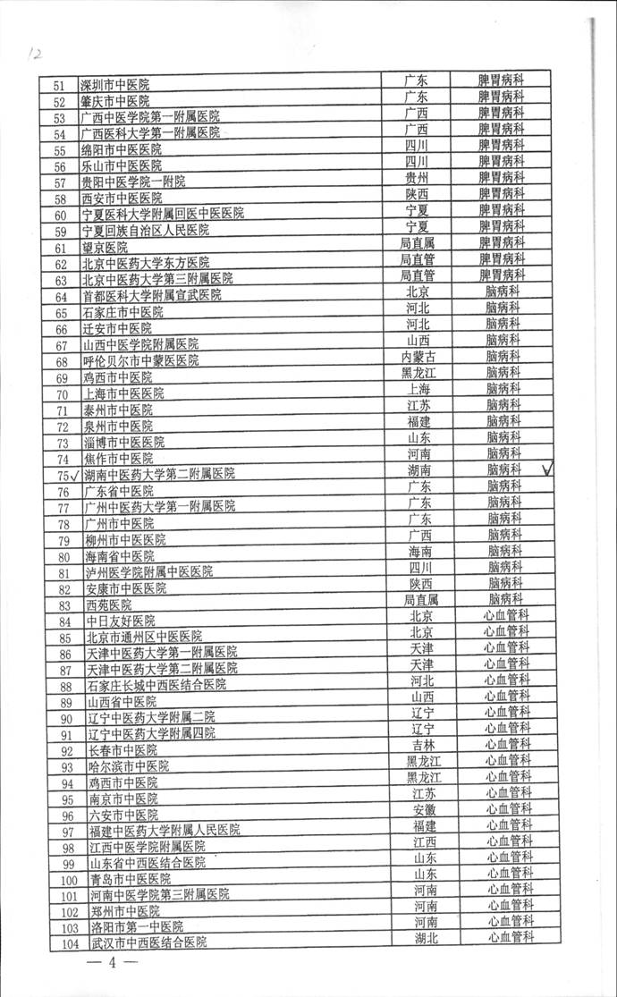
国家中医药管理局关于公布“十二五”重点专科建设项目和培育项目名单的通知
日期: 2012-02-10
信息来源: